魔域家庭仓库怎么扩容不同放牧方式对高寒草甸植物群落关键种的影响
青藏高原是世界上面积最大、海拔最高的高原, 是我国主要的畜牧业生产基地, 也是我国重要的生态安全屏障, 在生物多样性维持、水源涵养、碳库储存等方面具有重要作用[]。然而, 受全球气候变化和过度放牧等人为干扰的影响, 青藏高原高寒草地退化严重, 致使草地生产力降低、生物多样性丧失、碳汇功能减弱, 限制了草地畜牧业发展和生态文明建设, 甚至危及到区域生态环境安全[]。因此, 如何通过优化放牧管理措施来实现青藏高原高寒草地生态系统的可持续利用与健康发展是当前亟待解决的问题。
放牧是草地生产与生态管理的关键手段[]。放牧不但通过输出畜牧产品提供经济价值, 而且通过合理地放牧管理能维持生态系统的稳定性, 并进一步提升多功能性[]。放牧主要通过家畜的采食、践踏和粪尿归还等方式影响草地生态系统[]。适度的放牧能够有效提高生态系统结构、生产力与土壤养分, 从而促进与维持较高的草地生态系统多功能性与稳定性[]。然而, 青藏高原高寒草地通常以整季, 甚至全年连续放牧为主, 这种不合理的放牧方式不但降低了植被的覆盖度和生产力, 严重影响了草地生态系统的多样性和稳定性, 而且改变了草地生态系统的结构和功能, 导致草地发生退化[]。因此, 探寻一种既能有效利用草地资源, 又能维持长期稳定生态系统多功能性的科学放牧管理方式至关重要。
关键种在群落结构、功能与稳定性方面具有重要作用[]。移除法与对比法是两种常用测定关键种的方法, 但由于测定过程破坏性和人为主观干扰较强而具有一定的局限性[]。网络分析能有效鉴别复杂群落的关键种, 目前广泛应用于微生物群落稳定性的评价及关键种的识别[], 而应用于草地植物群落方面的研究较少[—]。目前关于草地放牧的研究已有大量报道, 主要集中在放牧强度[—]、放牧家畜组合[, ]及放牧方式[, ]等方面。然而, 以上研究多注重放牧强度理论研究, 包括优化放牧理论、干扰理论、非平衡态理论等, 且更关注群落学机制和生态服务功能, 如演替过程、生物量、多样性及碳汇功能等。而对植物功能性状及其与环境的关系关注不够。随着采样方法和分析方法的不断进步, 从植物个体尺度解析草地植物群落稳定性与多功能性受到越来越多的关注, 也成为更好地理解放牧草地系统、解析放牧草地退化与恢复机制的关键[]。目前应用网络分析方法对草地植物关键种的研究主要集中在退化草地恢复演替及不同家畜组合放牧过程, 但缺乏驱动机制方面的解析[, ]。然而, 不同放牧方式对植物关键种的影响程度如何?不同放牧方式下植物关键种变化的影响因子又是什么?而目前尚无此类研究报道。
因此, 本研究以青藏高原目前最主要的5种放牧方式(禁牧、非生长季放牧、传统放牧、生长季放牧和全年连续放牧)高寒草甸为研究对象, 采用网络分析法研究不同放牧方式如何影响高寒草甸植物群落关键种, 并采用方差分解探究关键种变化的影响因子。以期为高寒草地科学放牧管理策略的制定及草地畜牧业的可持续利用提供数据支撑。
1 材料与方法 1.1 试验地概况试验地位于青海省海南藏族自治州共和县石乃亥镇, 地理坐标36°59′41″—37°9′29.6″N, 99°26′2″—99°38′14″E, 海拔3100 m。研究区属于典型的高原大陆性气候, 年均气温0.1℃, 年均降水量为410 mm, 主要集中于7—9月, 全年仅分为冷暖两季, 无绝对无霜期, 植物生长期约120 d。草地类型为高寒草甸, 优势种植物为垂穗披碱草(Elymus nutans)、冷地早熟禾(Poa crymophila)和矮生蒿草(Kobresia humilis)。土壤类型为高山黑钙土。
1.2 试验设置通过查阅资料及实地调查发现, 研究区目前主要有5种不同放牧方式, 分别为禁牧(Grazing exclusion, GE)、非生长季放牧(Grazing during the dormant season, GD)、传统放牧(Traditional grazing, TG)、生长季放牧(Grazing during the growing season, GG)和全年连续放牧(Continued grazing, CG)。2023年7月, 在研究区选取GE、GD、TG、GG和CG样地, 分别3个重复, 各样地的海拔、坡向、坡位基本一致。GE自2017年全年禁牧, 面积400 m2;GD样地于每年10月初—次年4月底放牧, 放牧期内的放牧率约为3.4—3.8只hm-2 a-1, 面积0.51 hm2;TG样地于每年10月初—次年6月底放牧, 放牧期内的放牧率约为3.1—3.5只hm-2 a-1, 面积0.42 hm2;GG样地于每年5月初—9月底放牧, 放牧期内的放牧率约为3.0—3.6只hm-2 a-1, 面积0.58 hm2;CG样地全年连续放牧, 放牧期内的放牧率约为3.5—3.9只hm-2 a-1, 面积0.61 hm2。GD、TG、GG和CG样地的放牧家畜均为牦牛和藏羊, 已按上述方式放牧至少10年以上时间。
1.3 野外观测及样品采集2023年9月初进行野外观测及样品采集工作。在各样地按“S”型随机设置15个1 m×1 m的样方, 各处理分别45个样方。先记录样方内的植物种名称, 再按禾本科、莎草科、豆科和杂类草4个功能群测定植物的高度和盖度。用钢卷尺测定植物的自然高度, 每个样方各功能群植物测15株。盖度采用针刺法测定。最后按不同功能群齐地面刈割, 并收集刈割后样方内的凋落物, 植物样品带回实验室后先在105℃杀青30 min, 再在75℃烘干至恒重, 计算生物量。
在刈割后的样方内, 先用环刀测0—10 cm层土壤容重, 各样方重复3次, 样品带回实验室后在105℃烘至恒重, 称重并计算土壤含水量与土壤容重。然后用内径5.0 cm的土钻在刈割后的样方内采集4钻0—10 cm层土壤, 混匀后作为一个土样, 各处理分别45个土样, 将上述土样平均分为两份, 一份用清水冲洗以获取根系生物量, 另一份带回实验室后在阴凉处自然阴干, 碾碎并过筛, 用于土壤有机质(Soil organic matter, SOM)、全氮(Total nitrogen, TN)、全磷(Total phosphorus, TP)、全钾(Total kalium, TK)、速效氮(Available nitrogen, AN)、速效磷(Available phosphorus, AP)、速效钾(Available kalium, AK)含量及脲酶(Urease activity, Ure)、蔗糖酶(Sucrase activity, Suc)、纤维素酶(Cellulase activity, Cel)和过氧化氢酶(Catalase activity, Cat)活性的测定。土壤养分参照鲍士旦《土壤农化分析》[]测定, 土壤酶活性参照关荫松《土壤酶及其研究法》[]测定。此外, 采用土壤紧实度仪(USA SC-900)测定0—10 cm层土壤紧实度, 各样地分别重复30次。
1.4 数据分析采用Microsoft Excel 2019进行数据整理。采用SPSS软件(SPSS 19.0, Chicago, IL, USA)先对数据的正态性和方差齐性进行检验。参照马克平等[]方法计算植物群落的Shannon-wiener多样性指数、Pielou均匀度指数和丰富度指数。为更直观的展示不同方式的放牧效应, 本研究计算了不同放牧方式下植被特征、土壤理化性质及土壤酶活性的响应比(Response ratio, RR), 计算公式为:RR=ln(T/C), 其中T代表GE、GD、TG、GG处理下各指标的值, C代表CG处理下各指标的值。若RR>0, 表示处理对该指标有显著正向影响;若RR < 0, 表示处理对该指标有显著负向影响;若RR=0, 表示处理对该指标无影响。采用R 4.1.1 (R Development Core Team, 2020)中的Hmisc包对不同放牧处理植物群落进行网络分析, 构建网络图, 并计算平均连通度、平均聚类系数、网络图的节点和网络图的边。各放牧处理所有植物种均用于构建网络图, 为使网络图更清晰, 本研究剔除了相关性系数绝对值小于0.8, 且显著性大于0.05的边[]。基于以上分析结果, 采用Gephi 0.9.2绘制不同放牧方式下植物物种网络图, 最高中心度节点为关键种。平均连通度用于衡量群落中物种的互作强度, 值越大表示群落越复杂、越稳定。平均聚类系数用于衡量群落组织水平, 值越大表示群落组织水平越高。具体构建过程参照刘玉祯等[]的方法。采用TOPSIS-多准则决策模型对不同放牧处理进行综合评价, 以筛选适宜研究区的最佳放牧方式。为进一步探究不同放牧方式下植物关键种变化的影响因素, 采用R 4.1.1 Boruta包对植物群落特征、土壤理化特征和土壤酶活性进行重要性排序, Boruta包在进行重要性大小排序时, 会基于随机森林原理产生3个预测节点(Min、Mean、Max), 重要性小于Min的指标认为是贡献度极低的指标, 重要性大于Mean但小于Max的指标认为具有较高的贡献, 重要性大于Max的指标认为具有极高的贡献。将上述重要性大于Max的指标进行方差分解, 以探讨植物群落特征、土壤理化特征及土壤酶活性对关键种的相对贡献率。
2 结果与分析 2.1 不同放牧方式下植物群落网络结构特征不同放牧处理下植物群落网络分析如所示, 物种间关联性大小顺序为GD>TG>GG>CG>GE, GE关键种为垂穗披碱草;GD关键种为冷地早熟禾、矮生嵩草和赖草(Leymus secalinus);TG关键种为赖草;GG关键种为矮生嵩草;CG关键种为异针茅(Stipa aliena)。其中, GD共27个节点和312条边, 群落间关联性最高;TG共18个节点28条边;GG共15个节点25条边;CG共12个节点16条边;GE共7个节点17条边()。此外, GD的平均连通度和平均聚类系数最高, 分别为23.111和0.893, GE次之, CG最小(), 说明非生长季放牧样地群落的组织水平与稳定性最高。

图 1 不同放牧方式下植物群落网络结构特征 Fig. 1 The characteristic of vegetation community network structure under different grazing regime GE: 禁牧; GD: 非生长季放牧; TG: 传统放牧; GG: 生长季放牧; CG: 全年连续放牧. Elymus nutans: 垂穗披碱草; Poa crymophila: 冷地早熟禾; Stipa aliena: 异针茅; Koeleria cristata: 冾草; Leymus secalinus: 赖草; Achnatherum inebrians: 醉马草; Kobresia humilis: 矮嵩草; carex przewalskii: 红棕苔草; Medicago ruthenica: 扁蓿豆; Astragalus purdomii: 紫花黄耆; Aster alpinus: 高山紫菀; Heteropappus altaicus: 阿尔泰狗娃花; Artemisia frigida: 冷蒿; Taraxacum mongolicum: 蒲公英; Saussurea katochaete: 重齿风毛菊; Leontopodium nanum: 矮火绒草; Anaphalis lactea: 乳白香青; Polygonum viviparum: 珠芽蓼; Polygonum sibiricum: 西伯利亚蓼; Potentilla bifurca: 二裂委陵菜; Potentilla discolor: 翻白委陵菜; Potentilla anserina: 鹅绒委陵菜; Potentilla multifida: 多裂委陵菜; Lancea tibetica: 肉果草; Pedicularis kansuensis: 甘肃马先蒿; Veronica eriogyne: 毛果婆婆纳; Gentiana straminea: 麻花艽; Gentiana farreri: 线叶龙胆; Thalictrum alpinum: 高山唐松草; Ranunculus tanguticus: 丝叶毛茛; Trollius chinensis: 金莲花; Microula sikkimensis: 微孔草; Silene gallica: 蝇子草; Lepidium apetalum: 独行菜; Sphallerocarpus gracilis: 迷果芹; Geranium pratense: 草原老鹳草; Allium sikkimense: 高山韭; Oxytropis ochrocephala: 黄花棘豆; Plantago depressa: 平车前

图 2 不同放牧方式下植物群落平均连通度、平均聚类系数、节点和边 Fig. 2 The characteristic of average connectivity, average clustering coefficient, nodes and edges of vegetation community under different grazing regime GE: 禁牧; GD: 非生长季放牧; TG: 传统放牧; GG: 生长季放牧; CG: 全年连续放牧
2.2 不同放牧方式下植被特征
如所示, 相较于CG, 其他放牧方式均对各功能群植物的高度, 禾本科盖度, 禾本科、豆科和杂类草生物量, 群落地上和地下生物量, 凋落物生物量和多样性指数均有显著正效应(P < 0.05), 而对莎草科和豆科植物盖度具有显著负效应。其中, GE对植物高度、盖度、禾本科生物量、群落总地上生物量和凋落物生物量的效应值显著高于其他处理(P < 0.05);GD对豆科生物量、群落地下生物量和多样性指数的效应显著最高;GG对莎草科和杂类草生物量的效应显著最高。

图 3 不同放牧方式下植被高度、盖度、生物量和多样性指数的响应比 Fig. 3 Response ratio of vegetation height, coverage, biomass and diversity index under different grazing regime GE: 禁牧; GD: 非生长季放牧; TG: 传统放牧; GG: 生长季放牧; * * *表示0.001水平响应比具有显著差异; 不同小写字母表示响应比在4个处理间差异显著(P < 0.05)
2.3 不同放牧方式下土壤酶活性及理化性质
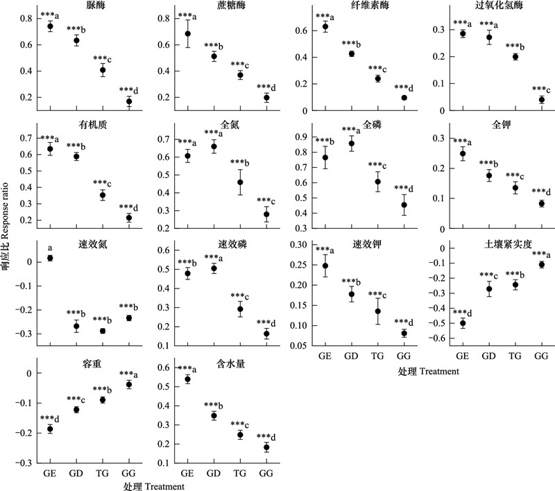
如所示, 相较于CG, 其他放牧方式对土壤脲酶、蔗糖酶、纤维素酶和过氧化氢酶的活性及土壤有机质、全氮、全磷、全钾、速效磷、速效钾和含水量均有显著正效应(P < 0.05);而GD、TG、GG对土壤速效氮、紧实度和容重具有显著负效应。其中, GE对土壤脲酶、蔗糖酶、纤维素酶、过氧化氢酶、有机质、全氮、全钾、速效氮、速效钾含量及含水量的效应值显著高于其他处理;GD对全氮、全磷和速效磷含量的效应值显著最高;TG和GG对速效氮含量的效应值显著最高。

图 4 不同放牧方式下土壤酶活性和理化性质的响应比 Fig. 4 Response ratio of soil enzyme activity and physicochemical properties under different grazing regime GE: 禁牧; GD: 非生长季放牧; TG: 传统放牧; GG: 生长季放牧; ***表示0.001水平响应比具有显著差异. 不同小写字母表示响应比在4个处理间差异显著(P < 0.05)
2.4 不同放牧方式综合评价
采用TOPSIS-多准则决策模型对不同放牧方式下植物群落特征、土壤酶活性和土壤理化特征进行综合评价, 以筛选适宜研究区的最佳放牧方式。结果表明, 非生长季放牧的贴合度最高, 为0.619;禁牧次之, 为0.6188;全年连续放牧最低, 为0.3144()。说明非生长季放牧既能有效利用草地资源, 又能维持较高的植物群落多样性和稳定性, 是高寒草甸的理想放牧方式。

图 5 不同放牧方式综合评价 Fig. 5 Comprehensive evaluation of different grazing regime GE: 禁牧; GD: 非生长季放牧; TG: 传统放牧; GG: 生长季放牧; CG: 全年连续放牧
2.5 不同放牧方式下植物关键种的影响因子
为探讨不同放牧方式下植物群落特征、土壤酶活性和土壤理化特征对关键种的相对影响, 采用随机森林模型对以上因子进行了变量重要性排序()。结果表明, 对关键种具有极高贡献的因子为凋落物生物量、脲酶、禾本科生物量、蔗糖酶、禾本科盖度、禾本科高度、根系生物量、莎草科高度、土壤有机质、豆科高度、丰富度指数、地上生物量、速效磷、莎草科盖度、豆科生物量、含水量、杂类草生物量、紧实度、均匀度指数、过氧化氢酶、杂类草盖度、豆科盖度、速效钾、香浓维纳指数、全钾、纤维素酶。将上述筛选出的因子分为植物因子、土壤理化因子和土壤酶因子三大类, 并进一步进行方差分解(), 结果表明, 植物因子对高寒草甸植物关键种贡献了28.5%、土壤理化因子贡献了28.4%、土壤酶因子贡献了43.1%, 且酶对关键种具有极显著贡献(P < 0.001), 而植被因子和土壤因子贡献不显著(P>0.05)。将土壤酶因子(包含4种酶, 分别为纤维素酶、脲酶、过氧化氢酶和蔗糖酶)进一步进行方差分解(), 结果表明, 纤维素酶和脲酶对关键种具有极显著贡献, 分别贡献了28.7%和27.6%;过氧化氢酶和蔗糖酶分别对关键种贡献了20.1%和23.6%, 但过氧化氢酶对关键种有显著贡献, 而蔗糖酶对关键种无显著贡献。因此, 土壤纤维素酶、脲酶和过氧化氢酶是影响高寒草甸植物群落关键种的最主要因素。

图 6 关键种变量因子重要性排序 Fig. 6 Importance of variable factors in important value of keystone species Min: 最小值; Mean: 平均值; AN: 速效氮; BD: 容重; TN: 全氮; TP: 全磷; HF: 杂类草高度; BC: 莎草科生物量; Max: 最大值; Cel: 纤维素酶; TK: 全钾; SWDI: 香浓维纳指数; AK: 速效钾; CL: 豆科盖度; CF: 杂类草盖度; Cat: 过氧化氢酶; SEI: 均匀度指数; SC: 紧实度; BF: 杂类草生物量; SWC: 含水量; Ble: 豆科生物量; CC: 莎草科盖度; AP: 速效磷; BA: 地上生物量; SRI: 丰富度指数; HL: 豆科高度; SOM: 土壤有机质; HC: 莎草科高度; BB: 根系生物量; HG: 禾本科高度; CG: 禾本科盖度; Suc: 蔗糖酶; BG: 禾本科生物量; Ure: 脲酶; Bli: 凋落物生物量. 图中蓝色表示最小值、平均值和最大值; 红色表示介于平均值和最大值间的变量因子; 绿色表示大于最大值的变量因子

图 7 不同放牧方式下植被因子、土壤因子和土壤酶活性对关键种的贡献及不同土壤酶活性对关键种的贡献 Fig. 7 The relative contribution rate changes of vegetation factor, soil factor, soil enzyme activities and different soil enzyme activities to the keystone species under different grazing regime * * *表示P < 0.001, * *表示P < 0.01
3 讨论
关键物种是群落中相互作用强烈的物种, 对其他物种的分布和多度起着直接或间接的调控作用, 决定着群落的稳定性、物种多样性和许多生态过程[], 是植物群落演替的重要标识[]。关键种能通过削弱物种之间的竞争来维持群落的稳定性, 也能通过影响其他物种的分布和数量来影响生态系统的多功能性[]。本研究网络分析结果显示, 禁牧样地的关键种为垂穗披碱草;非生长季放牧样地的关键种为冷地早熟禾、矮生嵩草和赖草;传统放牧样地的关键种为赖草;生长季放牧样地的关键种为矮生嵩草;全年连续放牧样地的关键种为异针茅。此外, 植物群落间的关联性、组织水平和稳定性均在非生长季放牧样地最高, 禁牧样地最低。这表明非生长季放牧能够有效提高植物群落的物种互作强度[], 有利于群落格局的重新配置以及物种多样性的提高[], 而禁牧虽能有效提高草地生产力, 但降低了群落多样性及群落的组织水平与稳定性。这是因为不同方式的放牧改变了植物群落对生长空间、光照和养分等有限资源的分配方式, 从而影响了植物的繁殖策略和扩散机制[—], 进一步改变了群落的构建模式[]。本研究中, 禁牧和非生长季放牧样地在牧草生长期都移除了放牧家畜的干扰, 一些家畜喜食植物的抑制程度减弱, 生长加快, 使群落组成和结构发生了变化。然而, 连续多年禁牧后, 植物群落中垂穗披碱草的数量急增, 而垂穗披碱草的分蘖和竞争能力都极强, 能迅速生长并占领上层空间, 致使处于下层空间的一些低矮植物由于竞争不到足够的空间、光照及养分等资源而生长受抑, 逐渐死亡, 致使群落向单一化趋势发展[], 故禁牧后植物群落多样性显著降低, 群落优势种向关键种演变, 垂穗披碱草在群落中起关键作用, 从而调控其他物种的分布和多度。因此, 为解决禁牧后生产力增加与物种多样性丧失及群落稳定性变差之间的矛盾, 禁牧后应在非生长季采取适度放牧利用的管理措施, 以促进草地的可持续利用。非生长季放牧样地由于在植物整个生长期内都处于休牧状态, 降低了家畜对草地干扰的强度与频度, 为新个体及竞争力弱的物种提供了生存空间, 从而引导种间和种内关系发生变化, 促进草地生态系统的良性运转和群落结构的优化, 使群落保持较高的物种多样性[], 冷地早熟禾、矮生嵩和赖草成为了群落中起关键作用的物种。生长季放牧样地由于在整个植物的生长期都处于家畜的采食和践踏状态, 家畜采食上层的禾草而降低了对下层矮小植物的遮光和竞争作用, 使下层适应性强、耐践踏、耐采食、营养繁殖能力强的莎草科植物占据优势, 逐渐形成了致密的草毡层, 从而促进了群落对水分和营养的吸收, 进而促进莎草科植物的营养繁殖与生长[]。而矮生嵩草是研究区最主要的莎草科植物, 随植物群落组成和结构的变化, 矮生嵩草成为了群落中起关键作用的物种。而全年连续放牧样地受家畜持续采踏的影响, 土壤紧实度增加, 土壤渗透性和持水能力降低, 部分地表裸露, 草地趋于干旱化, 植物群落中高大的禾本科植物大量减少, 转变为低矮、耐牧、耐干旱的植物群体[]。故能够适应高强度放牧的异针茅演变为群落中起关键作用的物种, 决定着群落的稳定性和多样性。此外, 非生长季放牧较传统放牧更有利于维持群落的生产力、多样性及稳定性。这主要是因为非生长季放牧是从植物开始返青到枯黄都处于休牧状态, 传统放牧在牧草返青期还处于放牧状态。而返青期是草地的一个非常脆弱时期, 一些早春短寿命植物在此期间迅速生长并完成整个生活史, 此时放牧家畜的采食和践踏都会影响此类植物种子的形成和后续的生长发育。此外, 家畜由于刚返青的牧草不能满足需求而逐食“跑青”, 对草地的践踏和破坏严重, 使刚返青的牧草受到不可逆的伤害, 甚至死亡[]。
本研究方差分解表明, 土壤纤维素酶、脲酶和过氧化氢酶是影响高寒草甸植物群落关键种的最主要因素。这是因为酶是土壤生化反应的催化剂, 参与有机质分解和腐殖质的形成等各个生化反应过程, 是土壤养分转化和循环的动力[]。在酶的催化作用下, 土壤微生物可将植物不易直接吸收利用的有机物分解为能直接吸收的营养元素。纤维素酶是一种复合酶, 可将大分子物质水解成植物易吸收的小分子物质, 对土壤碳、氮循环具有重要作用[];脲酶能促进土壤中尿素水解成氨, 从而为植物提供可吸收利用的氮素[];过氧化氢酶是表征土壤氧化过程强度的酶[]。本研究中, 以上4种酶的活性均在在禁牧样地最高, 非生长季放牧样地次之, 而在连续放牧样地最低。一方面, 禁牧样地由于没有家畜的采踏, 地表覆盖有大量凋落物, 连续放牧样地由于家畜的过度采食, 地表几乎没有凋落物。而凋落物能够为酶促反应提供主要底物, 底物增加可以极大地促进土壤微生物的活动, 从而使土壤酶活性提高[]。另一方面, 禁牧处理土壤疏松, 水分含量较高, 土壤微生物活性较强, 而连续放牧样地受连续高强度放牧的影响, 地表裸露, 土壤干燥紧实, 营养物质损耗严重, 从而抑制了各种生化反应, 降低了酶的活性。本研究TOPSIS-多准则决策模型分析表明, 非生长季放牧既能有效利用草地资源, 又能维持较高的植物群落多样性和稳定性, 是高寒草甸的理想放牧方式。然而, 放牧对草地的影响是一个非常复杂的过程, 年际间降水和气温变化都可能都会影响结果, 而本研究仅对一年的参观测数据进行了分析, 后续研究应加强连续多年观测, 以综合评价不同方式放牧对草地的影响。
4 结论本研究对青藏高原不同放牧方式(禁牧、非生长季放牧、传统放牧、生长季放牧和全年连续放牧)高寒草甸植物群落特征、土壤理化特征和酶活性进行了系统研究, 并采用网络分析法和方差分解探究了不同放牧方式草地植物群落关键种变化特征及其影响因素, 得出以下结论:
(1) 相较于全年连续放牧草地, 禁牧、非生长季放牧、传统放牧及生长季放牧对禾本科、豆科、凋落物、杂类草、群落地上和地下生物量, 植物高度, 禾本科盖度, 多样性指数, 土壤养分含量和土壤酶活性均有显著正效应。
(2) 禁牧样地的关键种为垂穗披碱草, 非生长季放牧样地的关键种为冷地早熟禾、矮生嵩和赖草, 传统放牧样地的关键种为赖草, 生长季放牧样地的关键种为矮生嵩草, 全年连续放牧样地的关键种为异针茅。其中, 非生长季放牧样地植物群落物种间的关联性、互作强度、群落组织水平和稳定性均最高, 而禁牧样地最低。
(3) 方差分解表明, 土壤纤维素酶、脲酶和过氧化氢酶是影响高寒草甸植物群落关键种变化的最主要因素。
(4) TOPSIS-多准则决策模型结果表明非生长季放牧既能有效利用草地资源, 又能维持较高的植物群落多样性和稳定性, 是研究区高寒草甸及类似区域的理想放牧方式。
研究结果对科学放牧管理制度的制定、草地生态系统稳定性与多功能性维持提供了科学数据支撑。